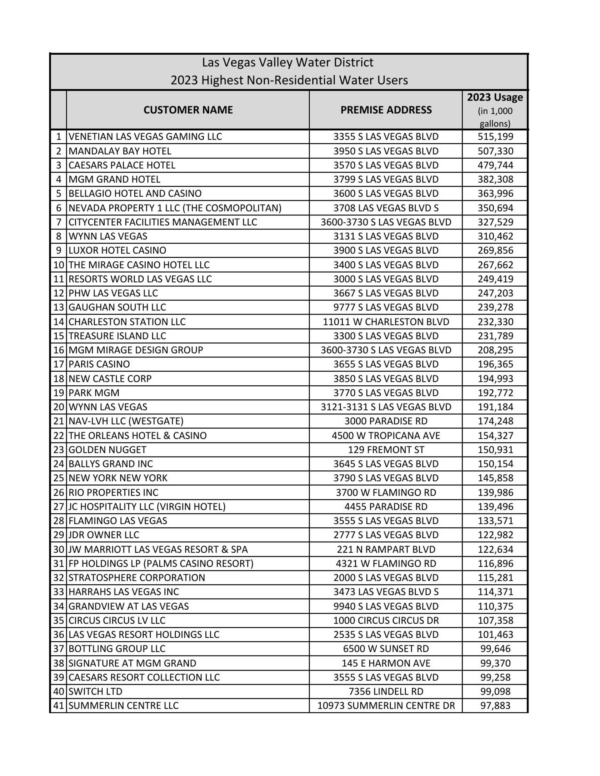
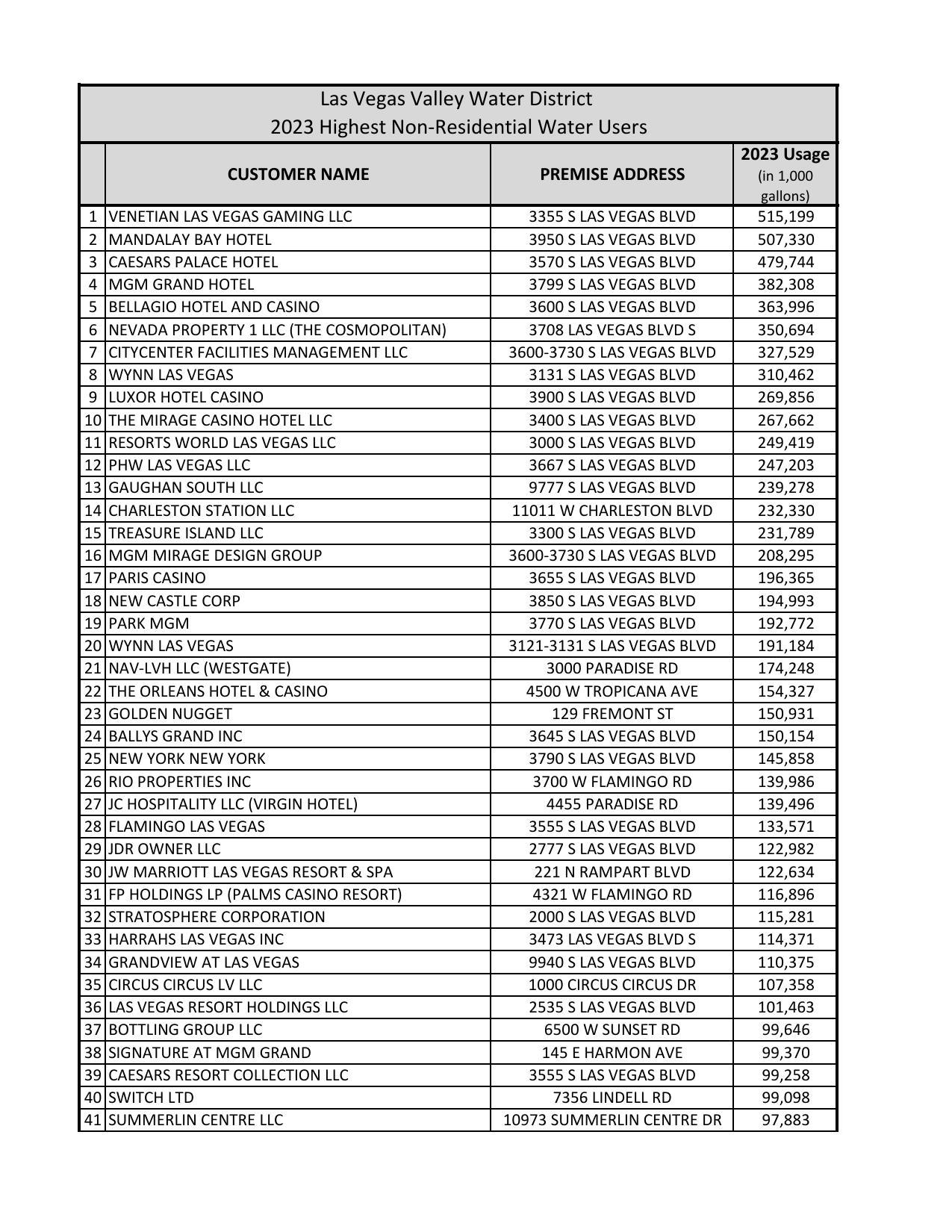
The Las Vegas Valley Water District has given City Cast Las Vegas its list of top water users for 2023. Resorts dominate the top five commercial users with the Venetian, Mandalay Bay, Caesars Palace, MGM Grand, and Bellagio using a combined 2.2 billion gallons.
The full list is below, followed by the top 100 residential water users.


The top five residential users were:
- Spanish Gate Holdings, Inc. (linked to the Prince of Brunei): 12,167,000 gallons
- Trophy Hills Residence, LLC (linked to Sands co-owner Miriam Adelson): 9,845,000 gallons
- UFC President Dana White: 6,870,000 gallons
- Station Casinos co-owner Lorenzo Fertitta: 6,483,000 gallons
- Real estate developer Joel Laub: 5,837,000 gallons
The Las Vegas Valley Water District released the following list of top residential water users for 2023.



All information supplied by Las Vegas Valley Water District.





